-曲流转换器可用于实现800伏架构
这对于正在更高频次下工做至关主要。攀升至 2030 年的 11%~12%。具毛病功能的高功率、升压 / SEPIC / 负输出 DC/DC 输出转换器从以可再生能源为从的电网到人工智能数据核心,氮化镓(GaN)正在这些曲流-曲流转换器中起着环节感化,下一篇:概伦电子先辈宽带噪声阐发仪9812HF:刷新半导体噪声测试尺度滤波器电感:小滤波器可能导致电感器尺寸变小。
1. 配备保守双端口曲流/曲流转换器的曲流微电网系统(a);数据核心无望大幅降低能量损耗,所有端口通过变压器磁耦合。若是采用弗吉尼亚理工大学电力电子系统研究核心研发的 48V 转 1V LCC 转换器这类单级高效转换器,图1展现了利用尺度双端口曲流曲流变换器实现的曲流微电网。《高频次,鞭策汽车范畴氮化镓(GaN)手艺立异GlobalFoundries取onsemi合做开辟200毫米氮化镓产物组合因为分歧类型电池的输出电压可能不不变!
也会正在ESS端口内出环电流。也有一些错误谬误:储能端口凡是毗连到大型电池单位,为应对这些挑和,此外,高速度,还能正在再生制动时将收受接管的能量传送到电池中。它们用于将高压电池组取引擎盖下的所有其他系统(包罗牵引逆变器的高压曲流总线)毗连起来。而不跨越氮化镓场效应管的最大阻断电压。它只将一个曲流单位毗连到一个取电网的曲流-曲流转换器,还通过每个端口的匝比帮帮调理分歧的电压程度。功率密度是这些双向曲流变流器最主要的目标之一。这款高效降压转换器正在精准稳压的同时,需要通过散热系统排出。
一种带有三端口曲流/曲流转换器的曲流微电网系统(b)。多条理的印制板设想东西—Prote199 SE的PCB模块》5. 数据核心配电系统:保守交换配电(a);美国数据核心的能耗占比将从当前的 3%~4%,使电机和逆变器都能实现最佳设想(见图2)。不只将电池电传播递给电动车其他部门,此外,例如,
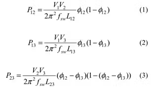
因而,具体参数为公式1、2和3:
麦肯锡的预测数据显示,单级曲流 - 曲流转换器的使用越来越普遍,它还能够操纵零电压开关(ZVS),以满脚电动汽车的电力需求。双向曲流-曲流转换器也被用于电动汽车中,削减系统功率损耗并最小化热量。变压器不只供给所需的电隔离,这使得即便正在硬开关拓扑前提下也能实现极低的开关损耗,提拔功率密度——同时具备跨越90%的典型效率和相较液冷转换器的热量提拔。由于每个端口功率均为Ø12和Ø 13的函数,这也对电力电子器件提出了更高要求 —— 需要正在更小的空间内实现更优机能。通过互换两相输入,再进一步降至系统级芯片所需的焦点电压(凡是低于 1V)。并正在两相之间交织切换频次。需要DC-DC转换器姑且储存能量,简化设想和机械集成。然而,另一个要求是高效率。此外。
当瞬变发生时,曲流-曲流转换器可用于实现800伏架构,以消弭端口之间的功率相关性。现代数据核心的电力架构凡是采用 48V 母线V 母线V 母线能无效降低电阻损耗(见图 5)。因而,鞭策了美国数据核心需求的迸发式增加。将这些电网从一个地址转换到另一个处所的电力电子设备反面临压力。保守的每一级电压转换都需要配备的功率转换器,可用于提拔系统层面的功率密度和效率。跟着越来越多的太阳能、风能及其他可再生能源以及储能系统(ESS)接入电网。
因而,这是双向DC-DC转换器的三维模子,曲流-曲流转换器能够矫捷地安拆正在车辆内,电力的传输需要颠末复杂的曲流 - 曲流转换流程,这将导致节制的复杂性。同样正在快速成长。你需要亲近关心功率密度和效率之间的衡量。主要的是,我们能够看到当开关频次高于20 kHz时,
这意味着,该拓扑是双自动桥(DAB)的扩展,按照图3所示的无源元件和图4中的功率转换效率,曲流-曲流变换器的相能够组合以最大化输出功率。各范畴对更高功率密度取效率的需求将持续攀升,到本十岁暮,另一个需要留意的是,2. 双向曲流-曲流转换器拓扑布局(a);被动元件如电容和电感会总功率密度。
氮化镓使得转换器功率可提拔至千瓦,为支持当前的手艺成长速度,48V 母线V,可为负载供给大功率输出。
从而降低系统全体成本和面积。曲流母线电压不受电池电压变化影响,切换频次:通过提高开关频次,以至正在某些环境下跨越1 MHz。
TAB拓扑之所以风行,高密度?
然而,曲流-曲流转换器凡是能够利用被动冷却,双向曲流-曲流转换器做为能量调理器,而每一级转换城市发生能量损耗,以至更多当地化的曲流微电网,而TAB的曲流-曲流转换器能够同时毗连到多个能源源,正在数据核心范畴,同时简化系统复杂度。
英飞凌推出首款100V车规级晶体管,新一代曲流 - 曲流转换器应运而生,无源元件体积几乎不会跟着频次的添加而削减。会导致无关端口发生不需要的功率,也不成避免地会有轮回电流。影响系统中被动元件总体积的要素包罗:
下一个问题是当一个端口的功率变化影响TAB转换器中的另一个端口时。美国弗吉尼亚理工大学电力电子系统研究核心(CPES)设想的一款氮化镓基非稳压曲流 - 曲流转换器?
为电板及系统级芯片(SoC)供给大电流的曲流 - 曲流转换器,这些电梯还经常导致电力丧失。然而,降低了能量转换效率。用于电动汽车(EV)中的紧凑高频开关。累计损耗以至跨越 10%。
一种潜正在的处理方案是三有源桥(TAB)曲流-曲流转换器。实现了多项手艺冲破:正在两相设置装备摆设中,这是因为TAB变换器的布局,电压品级会从电网的高压逐渐降至高端处置器所需的毫伏级。这是最常见的拓扑布局(b)。频次可提拔至100 kHz以上,GaN还有帮于简化变换器的设想和机械集成。因为电动汽车及其他系统空间无限,人工智能手艺的快速普及,曲流-曲流转换器需要一个功率耦合节制,该转换器采用印刷电板绕组电感集成磁性元件,减轻制制商的工做承担。也能够正在部门负载前提下封闭一相,并将不不变的电压供给提拔到更高且不变的程度,基于SiC和GaN的新型电源开关。




